学术理论研究成果High-lighted Research
⟡ 基于深度学习的三维模型多特征自适应形状分析算法
随着三维点云/数字几何模型在人工智能、智能制造、3D打印、计算机辅助设计等领域的广泛应用,如何有效实现其形状语义分析,已成为亟待解决的重要问题。然而传统方法仍然存在三维点云/数字几何模型上多种特征难以有效综合利用、训练模型标注成本过高等问题,准确率并不高。项目通过扩展深度学习理论,提出了若干种基于弱监督深度学习的三维模型多特征自适应形状分析新算法,通过对三维点云/数字几何模型进行弱监督学习,解决传统算法存在的主要问题。相关成果已经发表于国际计算机领域顶级学术期刊《IEEE Transactions on Visualization and Computer Graphics》。
项目研究成果可以广泛应用于计算机视觉系统中对周围场景扫描得到的三维点云数据的识别处理,在机器人、自动驾驶等众多人工智能相关领域都有重要应用。
⟡ 质量保证的图像和流数据压缩算法
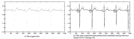
该算法压缩数值数据,其特点:
1) 实时/高效压缩,对内存空间没有要求;
2) 压缩后的图像和流数据是保证质量的;
3) 直接支持压缩数据上的查询等运算。 譬如:图像缩放,保持原始图像的结构特征,不影响后期的图像分析。
此压缩算法不同于当前大多的压缩算法(包括商业软件),可使得每一数据点的误差满足给定的要求,因此,基于压缩数据的直接查询亦能保证精度。 使用此压缩算法可优化数据使用的整个生命周期,即数据存储--数据传输--数据分析。该研究包含两个主题:数据层次压缩和数据趋势压缩。
在数据层次压缩方面,对于Haar 小波大纲下的最大误差度量(无穷范数下),提供了线性时间复杂性的 (log N)-近似算法。完全不同于其它类似算法,这种算法是基于申请人自行创建的shift-变换理论和数据范围等概念构造的,具有结构简单、自然适应性强等优势,相关研究结论已在顶级期刊《Algorithmica》(2013)上发表。其初期研究成果得到IBM, AT&T 等学者的认同和高度评价,并收录到《Foundations and Trends in Databases》(2012)一书中。近期, 在此基础上,对于图像压缩,我们构造了具有更大压缩率的新算法。
在数据趋势压缩方面,通过维护保持平面最小凸集,得到了线性时间复杂度的最优(直线拟合)算法,相关研究结论已在顶级期刊《VLDB Journal》(2014)和《IEEE TKDE》(2020)上发表,并应用于对原始图像进行放大或者缩小的操作(图像缩放)。
经过广泛的实验分析和理论证明,结果表明这两项技术实践性很强,比其他方法更加高效。如申请人发表在《Algorithmica》(2013) 的结果要比Karras 刊登在《ACM Transaction on Database Systems》(2008)的算法快4000倍;发表在在《VLDB Journal》(2014) 的算法要比Elmeleegy 刊登在《VLDB》(2009)的算法快6000倍。
图像放大是对原始图像像素的扩充,而图像缩小是对原始图像像素的删减。性能卓越的图像缩放方法要在保证缩放后图像质量的前提下尽可能的快速, 并要同时防止图像缩小操作造成的走样现象。事实上,图像的缩放问题可以转化为优化问题,并采用机器学习技术加以解决,其输出的图像结果可以有效的避免走样、过度平滑等现象。然而,机器学习算法均为多项式级的时间复杂度,故难以保证缩放的时间消耗。基于重采样插值技术,譬如bilinear、bicubic、box sampling等,具有线性的时间复杂度,但在保证输出图像质量方面有所欠缺。总之,这些缩放方法往往在图像局部信息损失和时间消耗两个方面进行折中处理,基于事例和基于学习的方法被验证具有较好的视觉效果,但是数据和时间消耗大;基于重采样插值技术相比与前者具有较高的执行效率,比较适合对低分辨率的图像进行处理。两种技术,对大数据环境下的超高分辨率图像缩放效率受到限制。图像压缩技术可以大幅度的减少图像的存储,更为重要的是压缩后的数据是对原始像素信息的知识表示转换,这种转换的数据有利于后期的图像处理。
我们从理论上证明了NaiveScale和PLAScale算法具有上稳定性(Up-Stability),即在最大误差小于0.5的条件下,对原始图像进行放大后,再对放大的图像进行相应倍数的缩小,那么经过放大和缩小操作后的图像和原始图像是一样的。此性质是度量缩放方法的重要指标之一。
实际数据演示表明,在放大操作上我们提出的算法要优于插值方法、而在缩小操作上可以和插值方法相媲美。
⟡ 用一阶逻辑维护无向图的最短距离及数据库查询算法
这项研究证明了无向图最短距离的维护具有 AC0 复杂性 (AC0是指这类问题可以在常数时间内使用多项式的处理器数量解决)。这项研究的成果发表在《ACM Transaction on Database Systems》顶级期刊,受到Alon Y Halevy (ACM会士、谷歌研究主任),Jennifer Widom (斯坦福大学计算机系主任) 等国际著名科学家认同,并获得多个国际顶级期刊的引用。得到的算法已实际应用在澳大利亚福特汽车管理系统和医疗数据权限访问控制管理中。团队进一步拓展此算法在网络通讯方面的应用,并已得到初步理论结果。
数字健康应用项目 Health Data Processing
通过个人健康的数据分析技术及特定疾病预防模型构建、生命健康的预警模型研究及应用平台研发、基于大数据技术的特定疾病早期诊断模型构建进行智慧健康管理与智慧医疗。
⟡ 创新“甬行码”
 |
面对新冠病毒疫情突发状况下,在全国首先提出隐私安全保护机制下的社区疫情防控与风险分析决策创新应用模式(即甬行码),实现了近千万人口大城市社区新冠疫情精智防控的全覆盖。甬行码的应用为宁波800多万用户及300,000多个社区提供新冠疫情精智防控服务,是全国率先提出的运用 互联网和大数据来实现疫情精智管控的典型应用。 |
面向生命健康的智能大数据工程应用
2016年获批的宁波市面向生命健康的智能大数据工程应用第二层次创新团队,团队以浙意昂体育计算机科学与技术学科为核心,成员主要包括物联网、云计算、大数据、复杂性系统科学和数字健康等领域研究人员。以团队近年与宁波市相关医院和医疗机构合作研究为基础,主要开展大数据云计算智能应用关键技术和针对个人健康的大数据应用关键技术研究,通过“人工智能+生命健康”来促进医疗创新服务的提升和居民健康指数的提高。目前,团队已与宁波市第一医院、宁波市第二医院、宁波康麦隆医疗器械有限公司、创业慧康科技股份有限公司、宁波市疾病预防控制中心等建立了紧密合作关系,并在心血管类疾病的诊断、智能图像识别、健康预测和并行计算等领域取得了较好的研究成果。具体应用范例包括:
⟡ 人体脊柱椎弓根手术导板智能3D打印系统
传统人体椎弓根置钉手术可以有效治愈颈椎、腰椎等相关疾病,然而手术风险较大,对医生手术水平要求较高。一旦手术失败,将可能产生瘫痪、大出血等严重后果。另外,由于手术需要长时间全身麻醉,对患者身体素质要求较高。如果能够进一步降低手术风险,提高手术安全性,缩短手术麻醉时间,可以一定程度上扩大手术适用人群范围,提高患者生活质量。
椎弓根置钉手术导板,通过在手术过程中辅助医生确定最佳置钉方向,有效避免置入螺钉触碰到脊髓、动脉血管等重要器官,防止严重手术事故的发生,从而进一步提高椎弓根置钉手术的安全性,具有精准、安全、便于使用等优点。然而,椎弓根置钉手术中最佳置钉钉道的计算,以及手术导板的制作,是一个较难解决的问题。

“椎弓根手术导板智能3D打印系统”,通过智能优化算法,能够自动确定椎弓根钉植入钉道的最佳位置和方向,并一键生成手术导板实体,解决了以上难题。该系统具有以下3个优点:
(1)只需极少量的人工交互,即可自动生成令医生满意的椎弓根手术导板,并进行3D实体打印,然后用于手术。
(2)在智能生成的过程中,允许医生对手术钉道的长度和粗度进行精确控制。医生只需通过简单拖拉就可以对长度和粗度施加约束控制,系统能够自动保证生成的椎弓根手术导板对应的置顶通道满足医生对长度和半径的约束控制要求。
(3)手术导板设计与生成过程所需时间极短,在三维重建完成后的椎骨数字模型基础上,医生只需花费5分钟左右的时间就能独立完成椎弓根手术导板的生成工作。
相关核心算法通过多篇学术论文发表在国际计算机领域顶级学术期刊,相关专利技术获得国家发明专利授权。
⟡ 深度学习图像超分辨率
医学图像在成像过程中的分辨率通常不高,在一定程度上影响后期临床诊疗的精度。针对此问题,我们研究基于深度学习的医学图像超分辨重建方法。超分辨率技术(Super-Resolution)是指从观测到的低分辨率图像重建出相应的高分辨率图像,在监控设备、卫星图像和医学影像等领域都有重要的应用价值图像超分辨率技术涉及到增加小图像的大小,同时尽可能地防止其质量下降。
⟡ 医疗文档图像的信息抽取与识别
医疗OCR:将纸质医疗文档转换规范的电子文档。现代医学诊疗过程中,通常会产生大量的纸质单据,比如化验单、诊断书、收费单等,都需要将纸质医疗文档转换规范的电子文档。通过OCR可以自动识别并将纸质单据内容转化为电子文档,可以提高医疗效率、促进医疗数据流动。
⟡ ECG心脏疾病智能筛查
试图通过对临床大量的 ECG 数据进行训练学习,建立五种常用波形P/Q/R/S/T的模式库 对应的疾病库, 通过建立深度神经网络模型,提供一种心脏疾病快速、准确的筛查算法。

⟡ CT等医学影像数据的智能识别
对医院产生的大量医学影像数据,需要实现影像数据的高速传输、海 量存储、智能识别、准确筛查等,如肺结节的智能标注、肺癌等的智能筛查。开发定量CT ,通过CT图像和一些生理指标,预测骨质分类。
⟡ 疾病的生物标志变异相关研究
在对克罗恩病症(Crohn's Disease)的生物标志计算研究中(NP 完全问题),团队将世界上检查该病症所需的 40 个生物标志变异(蛋白质或 DNA),缩减为仅需检查21个生物标志。为临床检验设备(Clinical Kit)的成型提供了理论基础。
关于直肠癌的恢复研究。团队对5年以上的成活率得到了92.83%预测精度。
⟡ 手术病人异常早期实时报警系统
本系统用于早期实时识别手术病人过敏反应。通过对昆士兰皇家医院手术病人数据验证,本系统可以早5-10分钟、准确地判断预警常见的过敏反应(e.g., redman)。通过使用此系统,该医院纠正了3次历史上的误判结论。
⟡ 生物图像智能分析, 检索与管理
1)利用计算机科学的视觉认知计算、机器学习理论和方法, 解决生物图像信息学中的一系列问题, 包括细胞图象特征信息的提取。
2)生物图像自动分类,特别是细胞分裂形态的分类和识别;生物图像序列的时-空特征分析,探索细胞和活体组织的动力学。
3)针对生物图像数据的语义信息和特征信息, 利用本体论以及功能与结构图象的配准与信息融合解决图像检索和查询。
4)研究构建面向分析工具和分析手段的智能化生物图像数据管理和数据支持系统。
⟡ 神经信息学图像分析:树突棘的自动检测,跟踪和分析
本项目研究STED自动图像分析,特别是显微图像的自动检测,跟踪和分类,旨在有助于改善神经科学研究,为神经生物学家和神经科学家从事神经系统疾病治疗的大规模研究提供工具。
智慧城市应用项目 Smart City
⟡ 宁波城市个人信用分“天一分”
根据国家关于构建城市个人信用分的要求,为宁波市完善守信激励机制,推进信用惠民便企,争创国家信用示范城市,研究建立宁波市城市个人信用分体系模型。
宁波个人信用分体系模型应用实践分析。围绕构建宁波城市个人信用分,重点研究以下内容(包含但不限):个人信用分评价模型、模型实践结果分析、信用应用体系、信用分运营模式、法律风险等。
⟡ 基于计算机视觉和人工智能技术的道路病害智能快速检测系统

坑洞、裂缝、错台等常见道路病害
我国南方地区由于土质特点,道路坑洞、“桥头跳车”等常见城市道路病害现象较为普遍,极大影响了市民的出行体验。目前,传统道路检测技术虽然结果准确,数据丰富,但检测设备价格高,外业检测时间长,海量数据需要人工干预,检测周期较长。以宁波市检测量为例,一次全面检测一般需要5~6个月才能出具检测结果。市政道路维护部门目前主要以人工方式进行逐点测量来实现道路灾害和“桥头跳车”的检测,花费大量人力物力。此外,由于该过程需要测试人员长时间在开放路面实施测量,导致作业安全系数较低,难以满足市政道路管理部门的道路养护需求。因此亟需研发新的技术手段实现常见道路病害的轻量化、快速化检测,做到及时修复,从而提高市民出行的满意率。

研发完成的道路病害智能巡逻车

精准实时识别常见道路病害
由浙意昂体育舒振宇教授团队研发的“基于人工智能技术的道路病害智能快速检测系统”,以人工智能技术和计算机视觉技术为基础,实现道路坑洞、裂缝、“桥头跳车”等常见道路病害的轻量化、快速化检测。该系统针对传统方法的缺点,以道路巡逻车为基础,利用自主研发的人工智能算法,通过自动分析车载计算机视觉系统所拍摄的路面视频以及多传感器信号,实时精准识别道路坑洞、裂缝和“桥头跳车”等常见道路病害,并将提取到的道路病害信息实时回传给道路养护相关部门,指挥道路养护部门快速派员修复病害道路,从而提高市民道路出行的满意度。
该成果目前已申请国家发明专利,并由项目委托单位宁波市市政管理处、宁波市市政集团顺利应用于宁波市道路日常养护工作。
⟡ 刑事视频侦查特定目标智能分析系统
该项目研究先进的图像与视频处理和分析方法,对刑事侦查中的监控视频进行计算机分析,形成视频中特定目标图像特征表达,检测和获取特定的视频目标;研究视频相似性测度,综合多特征检索技术,建立结构化或半结构化数据库,对视频数据建立结构和索引;对监控视频资源进行智能分析,采用计算机识别技术对特定目标的行为进行分析与理解,开发视频目标识别验证平台,实现智能监控和重要场所的治安预警。
⟡ 公共服务场所智慧安防与宁波智慧社区建设
智慧社区是基于智慧城市理念下形成的一种新社区管理概念。它以社区群众的生活体验、思维情感为基础,依托移动人工智能、云计算、物联网等先进的信息技术,实现各系统(智能家居系统、物业管理系统、智能监控系统、电子商务服务系统、个人健康系统等)的集成应用,从而为社区居民提供舒适、健康、安全、便捷的智慧生活环境,提供智能化的管理服务。
现在很多老旧小区亟待设施升级,需要对小区的安防设施、物业管理系统、社区服务平台以及监控设施等都在进行智能化改造。公司将利用自身的技术积累, 发力宁波的小区智能化改造, 实现局面生活环境的改善,让智慧社区的建设逐渐形成体系,为宁波城市发展的做出贡献。